Die Geschichte der Mathematik ist so alt wie die Zivilisationen selbst. Ob in der antiken arabischen Welt, dem alten Ägypten, im antiken Griechenland oder Rom: Schon immer setzten sich Gelehrte mit verschiedenen Zahlensystemen und mathematischen Gesetzmäßigkeiten auseinander.
Wir stellen dir einige der bekanntesten Vertreter des Fachs vor und beleuchten den Werdegang einiger der größten Mathematiker unserer Zeit. Wenn du beim Lernen Unterstützung brauchst, kannst du auf Angebote für mathematik nachhilfe zurückgreifen.
Thales - Mathematiker und Astronom
- Lebensdaten: 625 - 548 v. Chr.
- Herkunft: Antikes Griechenland
Der große griechische Philosoph und Mathematiker der Antike Thales gilt als einer der sieben Weisen des antiken Griechenlands. Der junge Mathematiker lernte in Ägypten von ägyptischen und babylonischen Priestern und Astronomen viele Dinge in den Gebieten der Mathematik und Astronomie.
Er ist insbesondere für seinen berühmten Satz des Thales bekannt, der vereinfacht so lautet:
Alle Winkel am Halbkreisbogen sind rechte Winkel.
Thales
Nach seinem Bildungsaufenthalt in Ägypten kehrte er nach Milet zurück und gründete dort eine Schule. Als Lehrer brachte er seinen Schülern seine Entdeckungen auf den verschiedenen naturwissenschaftlichen Gebieten bei, während er gleichzeitig seine Forschung fortsetzte.
Satz des Thales
Vorausberechnung einer Sonnenfinsternis
Die Entdeckungen von Thales spielen auch heute noch eine große Rolle in der Mathematik.
Pythagoras - Begründer des bekannten Satz
- Lebensdaten: 570 - 500 v. Chr.
- Herkunft: Griechenland
Als talentierter und sehr sportlicher Schüler nahm Pythagoras an den Olympischen Spielen in Apulien teil und interessierte sich für Philosophie, Geschichte und die Wissenschaften - er war außerdem Schüler von Thales.
Er stellte einen der wichtigsten Sätze der Mathematik auf! Der Satz des Pythagoras ist eines der wichtigsten Kapitel der Geometrie. Er besagt:
Bei einem rechtwinkligen Dreieck ist die Summe der Quadrate der beiden Katheten gleich dem Quadrat der Hypotenuse.
Pythagoras
Oder leichter dargestellt: 

Auch er reiste zu Studienzwecken nach Ägypten und Babylonien, bevor er auf seine Insel zurückkehrte, um wie Thales eine Schule zu gründen. Da er in Opposition zum Tyrannen Polykrades stand, wurde Pythagoras aus seiner Heimatstadt verbannt. Er floh nach Süditalien, das damals von den Griechen besiedelt war und gründete seine Schule in Kroton.
Satz des Pythagoras
Pythagoreische Zahlen
Pythagoreische Buchstaben
Der Universalgelehrte Pythagoras prägte die Mathematik wie kein anderer.
Euklid - Genie der Algorithmen
- Lebensdaten: 330 – 265 v. Chr.
- Herkunft: Griechenland
Der griechische Mathematiker Euklid erhielt seine Ausbildung an Platons Akademie und lehrte später selbst in Alexandria. Besonders bekannt ist er für sein um 300 v. Chr. geschriebenes Werk Elemente. Das Buch wird als die Bibel der Mathematik betrachtet und ebenso wie die Bibel heute noch neu aufgelegt.
Darin präsentiert er Theorien zur Ebenengeometrie und zur Arithmetik (Lehre der Zahlen). Euklid demonstriert den Satz von Pythagoras und erklärt die Funktionsweise der euklidischen Division:
- Schriftliche Teilung, wie sie noch heute Grundschülern beigebracht wird.
- Division mit einer Dividende, einem Divisor, einem Quotienten und einem Restbetrag.
- Euklid erklärt auch, wie man den größten gemeinsamen Teiler findet.
Und noch eine wichtige Errungenschaft der Mathematik ist Euklid zu verdanken – der Beweis, dass es unendlich viele Primzahlen gibt!
Euklidische Geometrie
Euklidisches Axiom
Euklidischer Raum
Die Mathematik lebt von Euklids Entdeckungen.
Archimedes - bedeutender Mathematiker der Antike
- Lebensdaten: 287 - 212 v. Chr.
- Herkunft: Griechenland
Archimedes war ein großer Mathematiker und Physiker der Antike und ist einer der bekanntesten Wissenschaftler auf dem Gebiet der maschinellen Erfindungen. Nachdem sein Vater ihm Astronomie beigebracht hatte, studierte er in Alexandria, dem damaligen Zentrum der Kultur.

Archimedes gab als Erster der Zahl Pi einen Rahmen: Er berechnete das Verhältnis zwischen dem Umfang eines Kreises und seinem Durchmesser und stellte fest, dass die gefundene Zahl unabhängig von der Größe des Kreises immer dieselbe ist.
Die kürzeste Entfernung zwischen zwei Punkten ist eine gerade Linie.
Archimedes
Der Wissenschaftler beschrieb außerdem das Phänomen des archimedischen Schubs als die besondere Kraft, die ein Körper erfährt, der ganz oder teilweise in eine Flüssigkeit eintaucht, die einem Gravitationsfeld ausgesetzt ist. Er beschrieb weiterhin die Grundsätze der Hydrostatik.
Das Archimedische Prinzip
Die Zwillingskreise des Archimedes
Die archimedische Spirale
Der archimedische Punkt
Die mathematischen Beiträge von Archimedes sind sehr groß!
René Descartes - Philosoph und Mathematiker
- Lebensdaten: 1596 - 1650
- Herkunft: Frankreich
René Descartes war nicht nur ein bekannter Philosoph, sondern auch ein wichtiger Mathematiker, der das Denken über Raum und Zahl nachhaltig veränderte. Sein Werk Die Welt beschreibt und erklärt viele alltägliche physikalische Phänomene, einschließlich der Bewegung der Erde um die Sonne.
Sein berühmtestes Werk ist und bleibt jedoch die Abhandlung über die Methode des richtigen Vernunftgebrauchs und der wissenschaftlichen Wahrheitsforschung, das 1637 veröffentlicht wurde. In der Mathematik ist sein größter Verdienst die Begründung der analytischen Geometrie – also die Verknüpfung von Algebra und Geometrie durch ein Koordinatensystem.
Der Philosoph trieb mehrere mathematische Erkenntnisse voran. Er verwendete als Erster Buchstaben, um die unbekannten Zahlen einer Gleichung zu beschreiben. Deshalb schreiben wir heute Gleichungen mit x, y, z oder a, b, c. Außerdem führte er auch weitere neue Schreibweisen in der Mathematik ein, etwa 4x anstatt xxxx zu schreiben-
Descartsche Zweifelsmethode
Kartesisches Koordinatensystem
Analytische Geometrie
Wie Du siehst, nahm Descartes in der Mathematik eine wichtige Rolle ein.
Isaac Newton - Entdecker der Schwerkraft
- Lebensdaten: 1642 - 1727
- Herkunft: England
Auch Isaac Newton war nicht nur Mathematiker, sondern auch Physiker, Philosoph und Astronom - er gilt als einer der größten Universalgelehrten aller Zeiten. An der Universität von Cambridge studierte er:
Arithmetik
Geometrie
Trigonometrie
Astronomie
Neben seinen weltberühmten Entdeckungen der Physik - er gilt als Entdecker der Schwerkraft, als er einen Apfel zu Boden fallen sah - hatte er auch gewaltigen Einfluss auf die Entwicklung der Mathematik.
Er führte die Fluxionsmethode sowie einen Spezialfall der binomischen Formel ein und entwickelte somit unabhängig von Gottfried Wilhelm Leibniz die Integralrechnung. Er entwickelte Näherungsverfahren zur Lösung nichtlinearer Gleichungen – noch heute in der Praxis vielfach im Einsatz. Für Schüler und Studierende, die solche Themen vertiefen wollen, gibt es zahlreiche Angebote für mathematik nachhilfe online.

Außerdem untersuchte er das Verhalten von weißem Licht auf einem transparenten Prisma und stellte fest, dass sich das Licht in mehrere Strahlen unterschiedlicher Farben aufteilt. Mithilfe seiner Lichtexperimente erfand er das erste Spiegelteleskop, ein großer Erfolg in der wissenschaftlichen Welt.
Schwerkraft
Newtonsche Axiome
Näherungsverfahren
Die Erfindungen von Isaac Newton sind noch heute relevant.
Gottfried Wilhelm Leibniz - Begründer der Computertechnik
- Lebensdaten: 1646 - 1716
- Herkunft: Deutschland
Kommen wir zu einem weiteren echten Universalgenie – Philosoph, Jurist, Historiker und vor allem: einer der bedeutendsten Mathematiker der Geschichte. Gottfried Wilhelm Leibniz ist vor allem dafür bekannt, die
Er ist vor allem dafür bekannt, die Infinitesimalrechnung oder Analysis unabhängig von Isaac Newton entwickelt zu haben – und seine Schreibweise hat sich dabei weitgehend durchgesetzt. Diese Symbole gibt es noch heute:
für das Integral und dy : dx für die Ableitung.
Er entwickelte die Leibniz-Reihe als unendliche Reihe zur Annäherung von
:
Gottfried Wilhelm Leibniz
Leibniz war ein Visionär: Er dachte Mathematik nicht nur als Werkzeug für Naturwissenschaft, sondern als universelles Mittel zur Ordnung des Denkens. Er träumte von einer Universalsprache der Logik, mit der sich alle Gedanken berechnen lassen – ein früher Vorläufer der symbolischen Logik und Informatik.
Leibniz-Reihe
Leibniz'sche Rechenmaschine
Carl Friedrich Gauß - Entdecker der Summenformel
- Lebensdaten: 1777 - 1855
- Herkunft: Deutschland
Carl Friedrich Gauß war ein Genie – als Mathematiker, Statist und Astronom. Nicht umsonst wurde er von seinen Zeitgenossen auch "Fürst der Mathematik" genannt. Schon in jungen Jahren zeigte er ein außergewöhnliches mathematisches Talent und hinterließ ein Werk, das viele Bereiche der Mathematik grundlegend prägte.
Mit seinem Werk Disquisitiones Arithmeticae legte Gauß das Fundament der modernen Zahlentheorie. Er führte das modulare Rechnen systematisch ein – eine Methode, die heute in Kryptographie und Informatik unverzichtbar ist. Wer diese Themen flexibel von zu Hause aus vertiefen möchte, findet passende Angebote wie mathematik nachhilfe online.
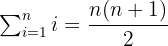
Seine größte Entdeckung ist sicher die Gaußsche Summenformel auf dem Gebiet der Algebra, also eine Formel für die Summe der ersten n aufeinanderfolgenden natürlichen Zahlen.
Carl Friedrich Gauß
Aber auch in der Statistik ist seine Arbeit zur Fehlerrechnung und Normalverteilung wegweisend – heute Grundlage vieler Verfahren in Natur-, Sozial- und Wirtschaftswissenschaften.
Gaußsche Summenformel
Gaußsche Normalverteilung
Gaußsches Gesetz in der Elektrizitätslehre
Methode der kleinsten Quadrate in der Statistik
Pierre Simon Laplace - Mathematiker der Zufallstheorie
- Lebensdaten: 1749 - 1827
- Herkunft: Frankreich
Pierre Simon Laplace gilt als einer bedeutendsten Mathematiker seiner Zeit. Als Mathematiker und Astronom setzte er sich hauptsächlich mit Problemen der Himmelsmechanik auseinander. Seine Arbeit brachte unter anderem die Kant-Laplacesche Theorie zur Entstehung des Sonnensystems hervor.

Außerdem beschäftigte er sich mit der Wahrscheinlichkeitstheorie und die Differentialgleichung. Die Erkenntnisse von Pierre Laplace bleiben bis heute höchstrelevant für verschiedene Gebiete der Mathematik, wie der Differentialrechnung und Wahrscheinlichkeitsrechnung.
Doch Pierre Simon Laplace behandelte auch ein kontroverses Thema - den Determinismus:
- Mithilfe aller Naturgesetze und Bedingungen sei es möglich, die Vergangenheit, die Gegenwart und die Zukunft genau zu bestimmen.
- Diese Sicht der Dinge wurde auch als "Laplacescher Dämon" bekannt.
Ihm diente die Mathematik nur als Mittel zum Zweck.
Kant-Laplacesche Theorie zur Entstehung des Sonnensystems
Laplace-Experiment
Laplace-Formel
Laplace-Transformation
Johannes Kepler - Wegbereiter der Himmelsmechanik
- Lebensdaten: 1571 – 1630
- Herkunft: Deutschland
Der deutsche Astronom und Mathematiker Johannes Kepler ist vor allem für seine Gesetze der Planetenbewegung bekannt. Diese drei Gesetze beschreiben, wie sich Planeten um die Sonne bewegen – und sie wurden zur Grundlage der Himmelsmechanik.
Kepler war ein Pionier, der Mathematik mit Astronomie verknüpfte und Ordnung in das damalige Weltbild brachte. Er war einer der ersten, der erkannte, dass Naturphänomene mathematisch erklärbar sind – ein Gedanke, der die Wissenschaft für immer prägte.
Keplersche Gesetze der Planetenbewegung
Beschreibung elliptischer Umlaufbahnen
Neben seiner Forschung beschäftigte er sich auch mit Optik und war der Erste, der erklärte, wie ein Fernrohr funktioniert.
Nikolaus Kopernikus - Schöpfer des heliozentrischen Weltbildes
- Lebensdaten: 1473 – 1543
- Herkunft: Polen
Kopernikus war kein reiner Mathematiker im heutigen Sinn, aber seine mathematisch begründete Idee veränderte die Welt: Er stellte das geozentrische Weltbild infrage und entwickelte das heliozentrische Modell, nach dem die Erde und die anderen Planeten sich um die Sonne drehen - eine Revolution des damaligen Weltverständnisses.

Mit seinem Werk „De revolutionibus orbium coelestium“ legte er den Grundstein für die moderne Astronomie. Seine Methode: exakte mathematische Berechnungen, die das alte Weltbild ins Wanken brachten – obwohl er sich mit der Veröffentlichung Zeit ließ. Kopernikus war vorsichtig, aber revolutionär.
Entwicklung des heliozentrischen Weltbildes
Mathematisch begründetes Modell mit der Sonne im Zentrum
Er stellte das Weltbild auf den Kopf, das die Kirche bis dahin vorgegeben hatte.
Leonhard Euler - Universalgenie der Mathematik
- Lebensdaten: 1707 – 1783
- Herkunft: Schweiz
Kaum ein Name ist in der Mathematik so präsent wie der von Leonhard Euler. Er zählt zu den produktivsten Mathematikern aller Zeiten. Ob Eulersche Zahl (e), Graphentheorie, Topologie, Analysis oder die Einführung vieler heute gebräuchlicher Symbole – Euler war überall dabei.
e ist die Basis des natürlichen Logarithmus, also ln(e) = 1
Leonhard Euler
Er verfasste über 800 Werke und prägte viele Teilgebiete der Mathematik bis heute. Und das Beeindruckendste: Einen großen Teil seines Werks schrieb er nachdem er erblindet war – sein Gedächtnis und seine Vorstellungskraft waren legendär.
Einführung der Eulerschen Zahl e
Eulersche Formeln in Analysis und Zahlentheorie
Begründung der Graphentheorie
Er prägte viele Begriffe der noch heute verwendeten Terminologie.
Joseph-Louis Lagrange - Meister der Variationsrechnung
- Lebensdaten: 1736 – 1813
- Herkunft: Frankreich
Lagrange war ein italienisch-französischer Mathematiker, der besonders durch seine Beiträge zur Variationsrechnung und zur Himmelsmechanik bekannt wurde. Sein Name taucht in vielen mathematischen Konzepten auf – etwa in den Lagrange-Funktionen oder Lagrange-Multiplikatoren, die heute noch in der Physik, Technik und Ökonomie verwendet werden.

Er arbeitete mit Euler zusammen und trat später die Nachfolge von d’Alembert an der Pariser Akademie an. Lagrange war ein mathematischer Systematiker – er wollte Ordnung schaffen und Prinzipien aufdecken. In vielen Städten, etwa in Wien, gibt es spezialisierte Angebote für mathe nachhilfe.
Variationsrechnung
Lagrange-Multiplikatoren
Entwicklung der Lagrange-Gleichungen in der Physik
Auch er erforschte das Gebiet der Astronomie.
Omar Chayyām - Persischer Mathematiker und Dichter
- Lebensdaten: 1048 – 1131
- Herkunft: Iran
Der persische Gelehrte war ein echtes Multitalent: Dichter, Astronom, Philosoph – und brillanter Mathematiker. Er arbeitete an der Lösung kubischer Gleichungen und klassifizierte sie geometrisch. Seine Werke in den Bereichen wurden erst später im Westen wirklich bekannt:
Algebra
Geometrie
Neben seiner mathematischen Arbeit wurde Chayyām für seine philosophischen Vierzeiler (Rubāʿiyāt) berühmt, in denen er über das Leben, das Schicksal und den Sinn der Dinge nachdachte. Ein faszinierendes Beispiel dafür, wie sich Wissenschaft und Poesie ergänzen können.
Geometrische Lösungen kubischer Gleichungen
Fortschritte in der Algebra
Kalenderreform mit großer Genauigkeit
Emmy Noether - Pionierin der abstrakten Algebra
- Lebensdaten: 1882 – 1935
- Herkunft: Deutschland
Emmy Noether war eine der bedeutendsten Mathematikerinnen des 20. Jahrhunderts – und eine Pionierin in mehr als einer Hinsicht. In einer Zeit, in der Frauen in der Wissenschaft stark benachteiligt waren, entwickelte sie grundlegende Theorien, die vor allem in der abstrakten Algebra und physikalischen Theorie bahnbrechend waren.
Ihr berühmtestes Werk ist das Noether Theorem, das einen fundamentalen Zusammenhang zwischen Symmetrien und Erhaltungssätzen in der Physik herstellt – heute eine der Grundlagen moderner Theorien wie der Relativität und der Quantenmechanik.
Jede kontinuierliche Symmetrie eines physikalischen Systems führt zu einer Erhaltungsgröße.
Emmy Noether
Albert Einstein nannte sie eine der bedeutendsten Mathematikerinnen aller Zeiten. Sie war eine Wegbereiterin der modernen mathematischen Physik
Noether-Theorem
Grundlegende Beiträge zur abstrakten Algebra
Mit KI zusammenfassen:









Gottfried Wilhelm Leibniz
Carl Friedrich Gauß








